Have you ever noticed that contact lens solution often has a faint green tint? The source of this green color is most likely RB246 (Reactive Blue 246, CAS: 121888-69-5).
What is RB246?
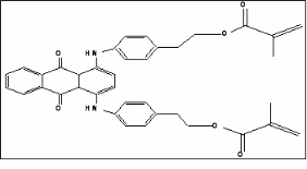
It is a reactive blue dye belonging to the anthraquinone class, appearing as a deep blue crystalline powder. It achieves permanent coloring by covalently bonding with the lens material through polymerizable groups in its molecule—ensuring no fading, no leaching, and no eye irritation.

Key Advantages:
✅ Extremely economical and uniform results: Only a very low dosage (e.g., 10–300 ppm) is needed to give the lens a uniform, clear aqua-green hue without affecting oxygen permeability or optical performance.
✅ Safe and compliant: Master File registration completed with China’s NMPA and permanently listed by the FDA; widely adopted by international companies such as Bausch & Lomb, CooperVision, and Taiwan’s Hengtai Optics.
✅ Stable supply: Pharnorcia® supplies RB246 with a purity of ≥97% and a monthly production capacity of 50 kg, supporting commercial-scale batch demands.

Pharnorcia® Ophthalmic Materials: 20 years dedicated to the R&D of high-purity ophthalmic materials. Pharnorcia®’s RB246 has been exported to over 100 countries and regions worldwide, providing safe and stable color identification for hundreds of millions of lenses.
Let every lens have a clear and easily identifiable “aqua-green ID.”
【Scan code】
WeChat identification QR code